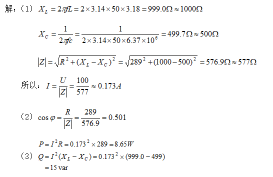
有一个RCL串联电路,电阻289Ω,电容C=6.37μF;电感L=3.18H,当将它们作为负载接电压为100V,频率为50HZ的交流电流时,求:①电流I;②负载功率因数
;③负载消耗的有功功率P和无功功率Q。

有一个RCL串联电路,电阻289Ω,电容C=6.37μF;电感L=3.18H,当将它们作为负载接电压为100V,频率为50
有一个RCL串联电路,电阻289Ω,电容C=6.37μF;电感L=3.18H,当将它们作为负载接电压为100V,频率为50HZ的交流电流时,求:①电流I;②负载功率因数
;③负载消耗的有功功率P和无功功率Q。
