首页
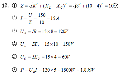
有一电阻、电感、电容串联的电路,已知R=8Ω,X
L
=10Ω,X
C
2023-11-09 05:34:44
装表接电题库
有一电阻、电感、电容串联的电路,已知R=8Ω,X
L
=10Ω,X
C
=4Ω,电源电压U=150伏,求电路总电流I,电阻上的电压U
R
,电感上的电压U
L
,电容上的电压U
C
,及电路消耗的有功功率P。
上一篇:
某对称三相电路的负载作星形连接时,线电压为380伏,每相负载阻抗为:R=10Ω,X<sub>L</sub>=15&O
下一篇:
<p>15. 试求如图D-6所示交流电桥的平衡条件。<img src="https://learnfile.20230611.c