某用户为非有效接地系统高压计量有功电能分相接线方式,安装三相三线电能表,互感器二次回路安装试验接线盒,其接线方式为《电能计量装置安装接线规则》的标准接线。某次进行现场检验,检验人员在将现场校验仪电流低端I'U,I'W)接出的两根电流线接入试验接线盒相对应的端子时,结果把应接入U相端子的接入W相,把应接入W相端子的接入U相,且接入现场校验仪U相电压端子的电压线断线,其他接线正常。若二次功率实际值为600W,功率因数为0.866,当打开电流短接片使现场校验仪串接于被试表电流回路后,发现此时现场校验仪的功率指示400W,而被试表出现停走现象,请计算分析原因。
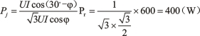
现场校验仪此时电流正常,而U相电压缺失,所以第一元件功率为0,它所加入的功率只有第二元件的功率,即
而
,所以有
被试表此时电压正常,第一元件电流为IW,第二元件电流为IU,所加入功率为

所以被试表会出现停走现象。