[多选题]施工项目都采用线性组织结构模式如下图,图中A、B、C表示不同级别的工作部门,关于下达工作指令的说法,正确的有(  )。

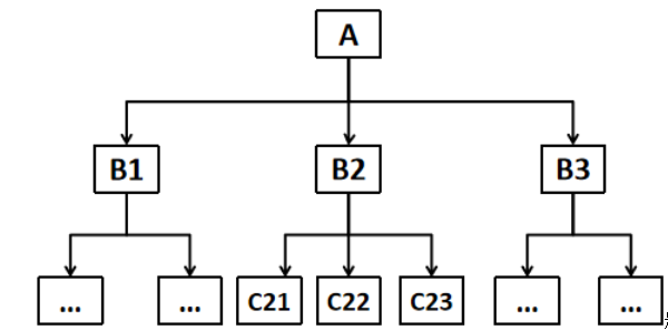
[多选题]施工项目都采用线性组织结构模式如下图,图中A、B、C表示不同级别的工作部门,关于下达工作指令的说法,正确的有(  )。 题71图


A、部门B2可以对部门C21下达指令
B、部门A可以对部门C21下达指令
C、部门A可以对部门B3下达指令
D、部门B3可以对部门C2下达指令
E、部门B2可以对部门C23下达指令
【正确答案】:ACE
【题目解析】:在线性组织结构中,每一个工作部门只能对其直接的下属部门下达工作指令,每一个工作部门也只有一个直接的上级部门,因此,每一个工作部门只有唯一一个指令源,避免了由于矛盾的指令而影响组织系统的运行。由图可知,部门B2可以对部门C21下达指令;部门A可以对部门B3下达指令;部门B2可以对部门C23下达指令。即选择ACE三项。