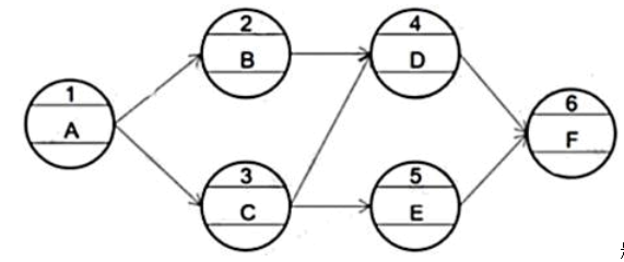
[单选题]某单代号网络图如下图,关于各项工作间逻辑关系的说法,正确的是(  )。 题24图

[单选题]某单代号网络图如下图,关于各项工作间逻辑关系的说法,正确的是(  )。 题24图


A、E的紧前工作只有C
B、A完成后进行B、D
C、B的紧后工作是D、E
D、C的紧后工作只有E
【正确答案】:A
【题目解析】:单代号网络图是以节点及其编号表示工作,以箭线表示工作之间逻辑关系的网络图,并在节点中加注工作代号、名称和持续时间,以形成单代号网络计划。本题中,A完成后进行B、C;B的紧后工作是D;C的紧后工作是D、E。