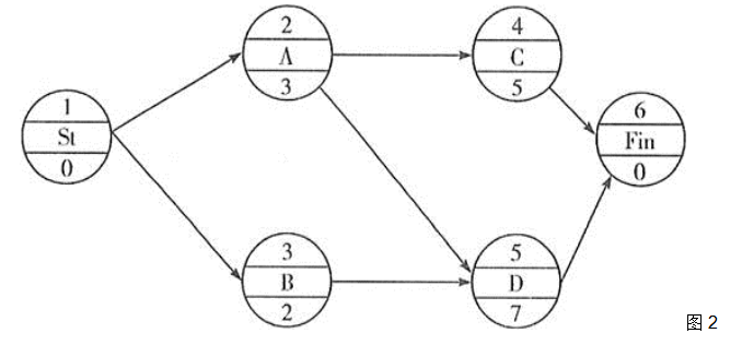
[单选题]单代号网络计划中,工作C的已知时间参数(单位:天)标注如图2所示,则该工作的最迟开始时间、最早完成时间和总时差分别是(

[单选题]单代号网络计划中,工作C的已知时间参数(单位:天)标注如图2所示,则该工作的最迟开始时间、最早完成时间和总时差分别是(  )天。 图2


A、3,10,5
B、3,8,5
C、5,10,2
D、5,8,2
【正确答案】:D
【题目解析】:单代号网络图是以节点及其编号表示工作,以箭线表示工作之间逻辑关系的网络图,并在节点中加注工作代号、名称和持续时间,以形成单代号网络计划。最早开始时间:ESC=3天;最早完成时间等于该工作最早开始时间加上其持续时间,即:EFC=ESC+DC=3+5=8(天);最迟完成时间:LFC=3+7=10(天);总时差:TFC=10-8=2(天);最迟开始时间:LSC=10-5=5(天)。