首页
第⑥节点的最迟必须开始时间?
2024-11-09 16:43:25
民航机场工程管理与实务【新版】
1
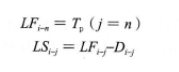
第⑥节点的最迟必须开始时间?
【正确答案】:
设第⑥节点的最迟必须开始时间为80d;
上一篇:
该网络计划第⑥节点的最早可能开始时间?
下一篇:
D项工作的总时差?