首页
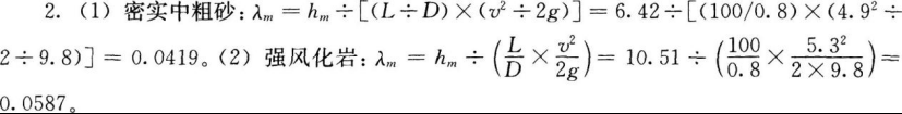
计算本工程测试期间测试段两种疏浚土质的沿程阻力系数。(计算结果取四位小数,g=9.8m/s2)
2024-11-09 16:15:16
港口与航道工程管理与实务【新版】
计算本工程测试期间测试段两种疏浚土质的沿程阻力系数。(计算结果取四位小数,g=9.8m/s2)
【正确答案】:
上一篇:
分别确定本工程两种疏浚土质适宜的绞刀型式和刀齿型式,并计算测试期间两种疏浚土质的绞刀挖掘系数。(计算结果取两位小数)
下一篇:
简述挖泥船防台锚地选择应考虑的因素。