首页
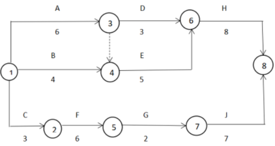
画出调整后的工程网络计划图,并写出关键线路。(以工作表示:如A→C)。调整后的总工期是多少个月?
2024-11-09 12:36:46
建筑工程管理与实务【新版】
画出调整后的工程网络计划图,并写出关键线路。(以工作表示:如A→C)。调整后的总工期是多少个月?
【正确答案】:
关键线路:A→E→H调整后的总工期:6+5+8=19个月
上一篇:
分别写出填充墙施工记录图1-1~图1-4的工序内容。写出四张图片的施工顺序。(如1-2-3-4)
下一篇:
网络图的逻辑关系包括什么?网络图中虚工作的作用是什么?