首页
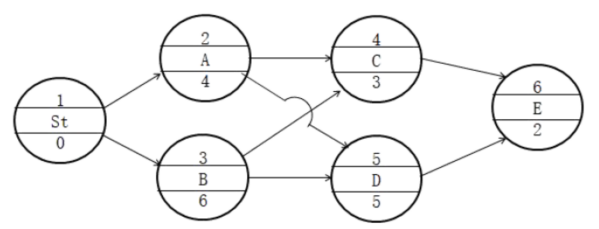
某工程单代号网络计划(时间:天)如下图所示,图中节点上下方数字分别表示相应工作代号和持续时间 。时间参数计算正确的有( )。
2024-11-09 10:57:33
建设工程项目管理【新版】
某工程单代号网络计划(时间:天)如下图所示,图中节点上下方数字分别表示相应工作代号和持续时间 。时间参数计算正确的有( )。
A、LSB=0
B、FFD=0
C、LSA=0
D、TFC=0
E、LFE=13
【正确答案】:ABE
上一篇:
工程网络计划中,关键工作是指( )的工作。
下一篇:
下列进度措施中,属于组织措施的有( )。