首页
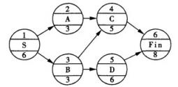
单代号网络计划如下图所示(时间单位:天)工作C的最迟开始时间是( )。
2024-11-09 10:35:12
建设工程项目管理【新版】
单代号网络计划如下图所示(时间单位:天)工作C的最迟开始时间是( )。
B、10
C、3
D、4
【正确答案】:B
上一篇:
在某工程网络计划中,已知工作M的总时差和自由时差分别为7天和5天,检查实际进度时发现该工作的持续时间延长了3天,说明此时工作M的
下一篇:
某分部工程双代号网络图如下图所示,图中的错误是( )。