首页
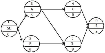
某单代号网络计划如下图,工作A、D之间的时间间隔是( )天。
2024-11-09 10:34:43
建设工程项目管理【新版】
某单代号网络计划如下图,工作A、D之间的时间间隔是( )天。
B、1
C、2
D、3
【正确答案】:C
上一篇:
某工程网络计划如下,工作D的最迟开始时间是第( )天。
下一篇:
工程网络计划中,关键工作是指( )的工作。