首页
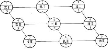
某单代号网络计划如下图所示(时间单位:天),工作5的最迟完成时间是( )天。
2024-11-09 10:34:23
建设工程项目管理【新版】
某单代号网络计划如下图所示(时间单位:天),工作5的最迟完成时间是( )天。
A、7
B、8
C、9
D、10
【正确答案】:C
上一篇:
已知某工程双代号网络图如下,按照计划安排F工作的最早开始时间为( )。
下一篇:
关于双代号网络图绘图规则的说法,正确的是( )。