首页
2024-11-09 10:20:23
高等数学二(专升本)
【正确答案】:
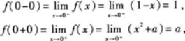
填1.因为
则由(0-0)=(0+0),得a=1.
上一篇:
下一篇: