首页
2024-11-09 10:19:37
高等数学二(专升本)
A、-3
C、1
D、3
【正确答案】:D
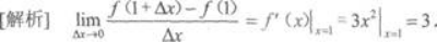
【题目解析】:
上一篇:
下一篇: