首页
2024-11-09 10:19:27
高等数学二(专升本)
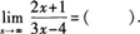
A、-1/4
C、2/3
D、1
【正确答案】:C
【题目解析】:
上一篇:
下一篇: