首页
2024-11-09 10:19:21
高等数学二(专升本)
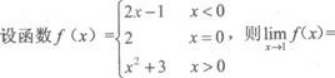
B、1
C、2
D、4
【正确答案】:D
【题目解析】:
上一篇:
下一篇: