首页
2024-11-09 10:19:13
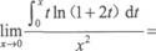
高等数学二(专升本)
A、3
B、2
C、1
【正确答案】:D
【题目解析】:
上一篇:
下一篇: