首页
2024-11-09 10:19:07
高等数学二(专升本)
B、-1
C、-3
D、-5
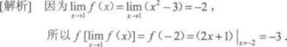
【正确答案】:C
【题目解析】:
上一篇:
下一篇: