首页
2024-11-09 10:19:03
高等数学二(专升本)
A、1,2
B、2,1
C、-2,-1
D、-2,1
【正确答案】:B
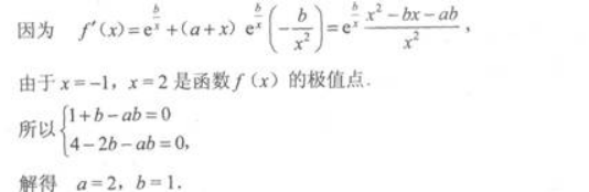
【题目解析】:
上一篇:
下一篇: