首页
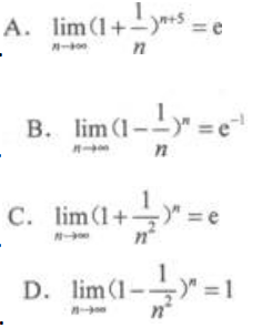
下列等式不成立的是()
2024-11-09 10:18:58
高等数学二(专升本)
下列等式不成立的是()
A、A
B、B
C、C
D、D
【正确答案】:C
【题目解析】:
利用第二个重要极限易判定.
上一篇:
下一篇: