首页
2024-11-09 10:18:51
高等数学二(专升本)
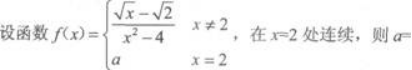
1
A、A
B、B
C、C
D、D
【正确答案】:B
【题目解析】:
上一篇:
下一篇:
当x→1时,下列变量中不是无穷小量的是()