首页
2024-11-09 10:17:43
高等数学二(专升本)
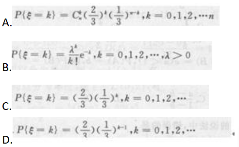
A、A
B、B
C、C
D、D
【正确答案】:C
上一篇:
下一篇: