首页
2024-11-09 10:16:07
高等数学二(专升本)
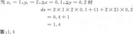
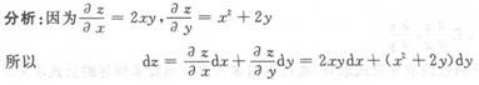
【正确答案】:
上一篇:
下一篇: