首页
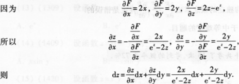
设z=z(x,y)是由方程x2+y2+z2=ez所确定的隐函数,求dz.
2024-11-09 10:15:47
高等数学二(专升本)
设z=z(x,y)是由方程x2+y2+z2=ez所确定的隐函数,求dz.
【正确答案】:
上一篇:
下一篇: