首页
2024-11-09 10:15:43
高等数学二(专升本)
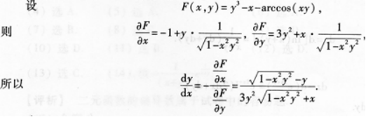
【正确答案】:
这里再次选用了一元隐函数的试题,主要是介绍公式法的使用方法,其他一元隐函数的试题请自行练习.
上一篇:
设z=sin(xy)+2x2+y,求dz.
下一篇: