首页
求下列函数的全微分
2024-11-09 10:15:32
高等数学二(专升本)
求下列函数的全微分
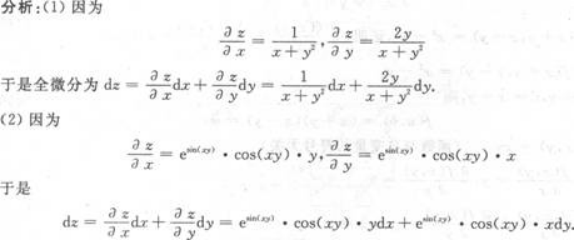
【正确答案】:
上一篇:
下一篇: