首页
2024-11-09 10:15:06
高等数学二(专升本)
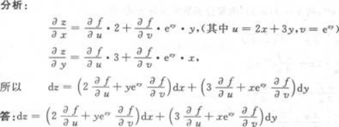
【正确答案】:
上一篇:
下一篇: