首页
2024-11-09 10:14:22
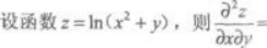
高等数学二(专升本)
A、A
B、B
C、C
D、D
【正确答案】:B
【题目解析】:
上一篇:
下一篇: