首页
2024-11-09 10:13:44
高等数学二(专升本)
B、1
C、-1
D、2
【正确答案】:A
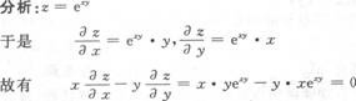
【题目解析】:
上一篇:
下一篇: