首页
2024-11-09 10:13:33
高等数学二(专升本)
A、2e2
B、4e2
C、e2
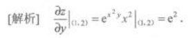
【正确答案】:C
【题目解析】:
上一篇:
下一篇: