首页
2024-11-09 10:11:52
高等数学二(专升本)
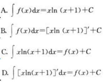
A、A
B、B
C、C
D、D
【正确答案】:A
上一篇:
下一篇:
下列广义积分收敛的是()