首页
2024-11-09 10:11:28
高等数学二(专升本)
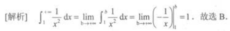
1
A、是发散的
B、等于1
C、等于0
D、等于-1
【正确答案】:B
【题目解析】:
上一篇:
下一篇: