首页
2024-11-09 10:11:24
高等数学二(专升本)
A、4
B、2
D、-2
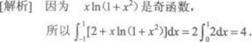
【正确答案】:A
【题目解析】:
上一篇:
下列广义积分收敛的是()
下一篇: