首页
2024-11-09 10:11:21
高等数学二(专升本)
A、A
B、B
C、C
D、D
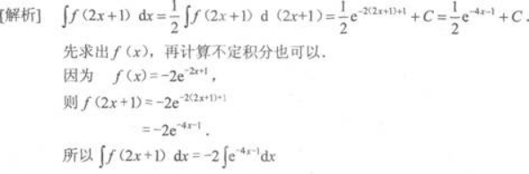
【正确答案】:C
【题目解析】:
上一篇:
若f(x)的一个原函数为arctanx,则下列等式正确的是()
下一篇:
下列广义积分收敛的是()