首页
2024-11-09 10:10:25
高等数学二(专升本)
【正确答案】:
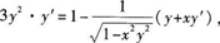
等式两边对x求导,得
解得
用求微分法计算请考生自行练习.
上一篇:
下一篇: