首页
2024-11-09 10:08:55
高等数学二(专升本)
A、g(x2)-g(1)
B、X2g(x2)
C、(x2-1)-g(x)
D、2xg(x2)
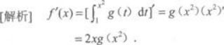
【正确答案】:D
【题目解析】:
上一篇:
下一篇: