首页
2024-11-09 10:08:47
高等数学二(专升本)
A、
A
B、
B
C、
C
D、
D
【正确答案】:A
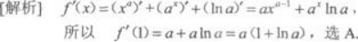
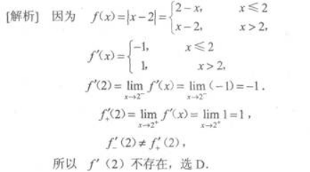
【题目解析】:
上一篇:
下一篇: