首页
2024-11-09 10:08:23
高等数学二(专升本)
1
【正确答案】:
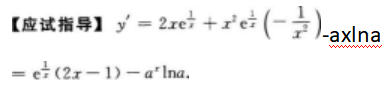
【考情点拨】本考题考查了一元函数的一阶倒数的知识点
上一篇:
下一篇: