首页
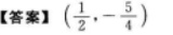
设曲线y=x2+x-2在点M处切线的斜率为2,则点M的坐标为().
2024-11-09 10:08:21
高等数学二(专升本)
设曲线y=x2+x-2在点M处切线的斜率为2,则点M的坐标为().
【正确答案】:
【考情点拨】本题考查了曲线上一点处的切线的知识点.
上一篇:
下一篇: