首页
2024-11-09 10:08:11
高等数学二(专升本)
A、A
B、B
C、C
D、D
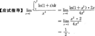
【正确答案】:D
【题目解析】:
【考情点拨】本题考查了极限(洛必达法则)的知识点.
上一篇:
下一篇:
对于函数z=xy,原点(0,0)()