首页
2024-11-09 10:08:09
高等数学二(专升本)
A、1
B、2
C、3
D、4
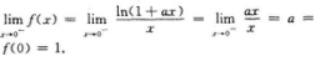
【正确答案】:A
【题目解析】:
【考情点拨】本题考查了函数在一点处连续的知识点.【应试指导】f(x)在x=0处连续,所以f(x)在x=0处左连续、右连续,
上一篇:
下一篇: