首页
2024-11-09 10:08:07
高等数学二(专升本)
A、A
B、B
C、C
D、D
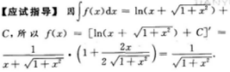
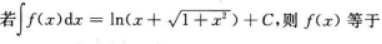
【正确答案】:D
【题目解析】:
本题考查了不定积分的知识点.【考情点拨】本题考查了不定积分的知识点.
上一篇:
从一批有10件正品及2件次品的产品中,不放回地一件一件地抽取产品,设每个产品被抽到的可能性相同,求直到取出正品为止所需抽取的次数
下一篇: