首页
某建筑物按设计要求使用寿命超过50年的概率为0.8,超过60年的概率为0.6,该建筑物经历了50年后,它将在10年内倒塌的概率等
2024-11-09 10:07:41
高等数学二(专升本)
1
某建筑物按设计要求使用寿命超过50年的概率为0.8,超过60年的概率为0.6,该建筑物经历了50年后,它将在10年内倒塌的概率等于()
A、0.25
B、0.30
C、0.35
D、0.40
【正确答案】:A
【题目解析】:
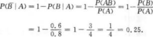
【考情点拨】本题考查了条件概率的知识点.【应试指导】设A={该建筑物使用寿命超过50年},B={该建筑物使用寿命超过60年}由题意,P(A)=0.8,P(B)=0.6,所求概率为:
上一篇:
当x→0时,下列变量是无穷小量的是()
下一篇:
若f(u)可导,且y=f(ex),则dy=()