首页
2024-11-09 10:07:35
高等数学二(专升本)
A、-4
B、-2
C、2
D、4
【正确答案】:B
【题目解析】:
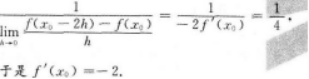
【考情点拨】本题考查了利用定义求函数的一阶导数的知识点.【应试指导】
上一篇:
设z=xy,则dz=()
下一篇: