首页
2024-11-09 10:07:24
高等数学二(专升本)
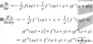
【正确答案】:
上一篇:
下一篇:
当x>0时,证明:ex>1+x.