首页
2024-11-09 10:07:11
高等数学二(专升本)
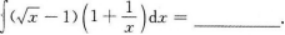
1
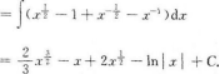
【正确答案】:
【答案】
【考情点拨】本题考查了不定积分的知识点. 【应试指导】
上一篇:
下一篇: