• 首页

  • 2024-11-09 10:06:39
  • 高等数学二(专升本)

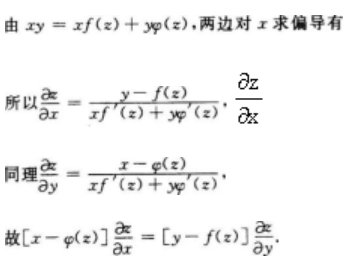
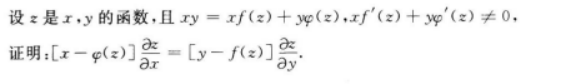
【正确答案】:
上一篇:
下一篇:求y=f(x)=2x3-3x2-12x+14的极值点和极值,以及函数曲线的凸凹性区间和拐点.

最新文章

  • 小张与小李是一对夫妻,二人来自不同的外省县城,通过卓绝努力考大学进而留在省城工作。结婚后,双方类似的成长经历使他们达成共识:一定
  • 19世纪,向中国大肆走私鸦片的主要国家是()
  • 请结合具体事例,阐述中国传统工艺的创新方法。
  • 服务的流程是
  • 贯彻落实“安全第一,预防为主”方针的主要手段是
  • 项目可行性研究之后,要撰写项目建议书。
  • blood type
  • 中国共产党第一次明确提出反帝反封建民主革命纲领的会议是( )。
  • 素混凝土结构的混凝土强度等级不应低于
  • 昼から天気が_____なりました。

推荐文章

友情链接