首页
2024-11-09 10:06:28
高等数学二(专升本)
A、A
B、B
C、C
D、D
【正确答案】:B
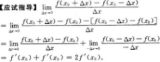
【题目解析】:
【考情点拨】本题考查了导数定义的应用的知识点.
上一篇:
下列变量在给定的变化过程中是无穷小量的是()
下一篇:
曲线y=ex和直线y=1,x=1围成的图形面积等于()