首页
2024-11-09 10:06:22
高等数学二(专升本)
A、A
B、B
C、C
D、D
【正确答案】:A
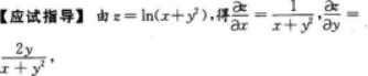
【题目解析】:
【考情点拨】本题考查了二元函数的全微分的知识点.
上一篇:
曲线y=x4-3在点(1,-2)处的切线方程为()
下一篇: